וויפיל מאל שנעלער איז 1 מפ"ש פון 0 מפ"ש?
- קהל'ס נער
- שריפטשטעלער

- הודעות: 2461
- זיך רעגיסטרירט: זונטאג אקטאבער 25, 2020 1:25 am
- געפינט זיך: ווי א נער אויפן מארק
- האט שוין געלייקט: 5892 מאל
- האט שוין באקומען לייקס: 5798 מאל
וויפיל מאל שנעלער איז 1 מפ"ש פון 0 מפ"ש?
ס'מיר איינגעפאלן א קשיא היינט ביים דרייוון, און כ'האב נישט געקענט טרעפן קיין תירוץ דערויף, מילא אפיליר איך צים עולם ארויסציהעלפן די מצב, ובכן, וויפיל מאל שנעלער איז 1 מפ"ש אקעיגן 0 מפ"ש?
די (קהל'ס) נער וואלט געענטפערט 1.
אבער פארשטייט זיך אז דאס איז נישט ריכטיג ווייל 1*0=0.
דער וואס האלט זיך פאר א חכם גייט ענטפערען 0.
וויבאלד 0 מפ"ש איז נישט קיין שענלקייט קימט אויס אז 1 מפש איז 0 מאל שנעלער פון 0 מפ"ש, דאס איז אבער נישט אמת ווייל 0*0=0 און נישט 1, און די הנחה אז 0 מפ"ש איז נישט קיין שנעלקייט איז נישט ריכטיג ווייל איה"נ מען קימט ערגעץ נישט אן אויף 0 מפ"ש אבער א שנעלקייט איז עס.
דער אויבער חכם וועט ענטפערען אינפיניטי (@מי אני, ביטע מאכן די אינפיניטי סימבאל).
ווייל 1 מפ"ש איז אינפיניטי מאל שנעלער פון 0 מפ"ש, דאס איז אבער אויך נישט ריכטיג ווייל 0*אינפיניטי=0 און נישט 1.
זענען מיר געבליבען ביים קשיא, וויפיל מאל שנעלער איז 1 מפ"ש פון 0 מפ"ש?
די (קהל'ס) נער וואלט געענטפערט 1.
אבער פארשטייט זיך אז דאס איז נישט ריכטיג ווייל 1*0=0.
דער וואס האלט זיך פאר א חכם גייט ענטפערען 0.
וויבאלד 0 מפ"ש איז נישט קיין שענלקייט קימט אויס אז 1 מפש איז 0 מאל שנעלער פון 0 מפ"ש, דאס איז אבער נישט אמת ווייל 0*0=0 און נישט 1, און די הנחה אז 0 מפ"ש איז נישט קיין שנעלקייט איז נישט ריכטיג ווייל איה"נ מען קימט ערגעץ נישט אן אויף 0 מפ"ש אבער א שנעלקייט איז עס.
דער אויבער חכם וועט ענטפערען אינפיניטי (@מי אני, ביטע מאכן די אינפיניטי סימבאל).
ווייל 1 מפ"ש איז אינפיניטי מאל שנעלער פון 0 מפ"ש, דאס איז אבער אויך נישט ריכטיג ווייל 0*אינפיניטי=0 און נישט 1.
זענען מיר געבליבען ביים קשיא, וויפיל מאל שנעלער איז 1 מפ"ש פון 0 מפ"ש?
If I could do it all again, I'd be a plumber.
Albert Einstein
Albert Einstein
-
טראכטכמוני
- ידיד השטיבל

- הודעות: 232
- זיך רעגיסטרירט: דינסטאג יולי 18, 2017 7:34 am
- האט שוין געלייקט: 160 מאל
- האט שוין באקומען לייקס: 190 מאל
Re: וויפיל מאל שנעלער איז 1 מפ"ש פון 0 מפ"ש?
די תירוץ ליגט אין דיין קשיא.
0 מייל פ"ש איז א מעסטונג פון שנעלקייט ממילא 'מוז' עס מיינען אז עפעס רוקט מען זיך ווייל אויב נישט איז עס נישט קיין מייל פער שעה נישט (פונקט ווי 0 מינוט איז נישט קיין צייט מעסטונג)
קומט אויס אז דאס ווארט 0 מפ"ש איז בעצם פאלש, ווייל אויב רוקט מען זיך בכלל נישט איז דאס קיין מייל פער שעה נישט, קומט אויס אז 1 מפ"ש איז דאך די ערשטע מעגליכע מפ"ש.
נאר וואס דען, ס'קאן זיין מען ריקט זיך טאקע אבער ווייניגער פון א מפ"ש, טא ווענדט זיך עס ווי שנעל מען פארט, אויב פארט מען א הונרעדסטל-מייל פ"ש איז איין מייל פ"ש הונדערט מאל מער פון דעם וכן הלאה.
וועעעעעסטו וועלן זאגן ס'איז בכלל א מאטעמאטישע שאלה און נישט קיין שאלה אין מציאות, דהיינו מ'רעדט נישט אין מציאות ווען איינער פארט טאקע, נאר אין טעאריע - לדוגמא - ווען איינער זאגט איך בין געפארן אויף 0 און די אנדערער זאגט איך בין געפארן אוף 1 וויפיל איז די מרחק אין שנעלקיין צווישן די צוויי געזאגעכצער?
אבער אינ'אמת'ן איז דאס נישט קיין שאלה בכלל. ווייל די חילוק פון 0 ביז איינס איז נישט 'סקעילעבל' נאר 'ביינערי'. ד.ה. 0 איז גארנישט און איינס איז 'יא' . משא"כ שנעלקיין פון 1 מפ"ש און העכער וואס דארט איז יא שייך שנעלער און שטייטער.
לדוגמא שווארץ מיט ווייס, ס'איז נישט שייך צו זאגן וויפיל מאל שווארצער איז שווארץ פון ווייס אדער להיפך. ווייל שווארץ איז נישט 'שווארצער' פון ווייס עס איז אן אנדערע זאך בכלל.
אויב אבער מ'רעדט פון גרוי (גרעי) איז אודאי יא שייך א גרוי וואס איז שווארצער אדער ווייסער אזוי ווי שנעלקייט פון 1 און העכער וואס דעמאלס איז יא שייך 'שנעלער' און 'שטייטער'.
0 מייל פ"ש איז א מעסטונג פון שנעלקייט ממילא 'מוז' עס מיינען אז עפעס רוקט מען זיך ווייל אויב נישט איז עס נישט קיין מייל פער שעה נישט (פונקט ווי 0 מינוט איז נישט קיין צייט מעסטונג)
קומט אויס אז דאס ווארט 0 מפ"ש איז בעצם פאלש, ווייל אויב רוקט מען זיך בכלל נישט איז דאס קיין מייל פער שעה נישט, קומט אויס אז 1 מפ"ש איז דאך די ערשטע מעגליכע מפ"ש.
נאר וואס דען, ס'קאן זיין מען ריקט זיך טאקע אבער ווייניגער פון א מפ"ש, טא ווענדט זיך עס ווי שנעל מען פארט, אויב פארט מען א הונרעדסטל-מייל פ"ש איז איין מייל פ"ש הונדערט מאל מער פון דעם וכן הלאה.
וועעעעעסטו וועלן זאגן ס'איז בכלל א מאטעמאטישע שאלה און נישט קיין שאלה אין מציאות, דהיינו מ'רעדט נישט אין מציאות ווען איינער פארט טאקע, נאר אין טעאריע - לדוגמא - ווען איינער זאגט איך בין געפארן אויף 0 און די אנדערער זאגט איך בין געפארן אוף 1 וויפיל איז די מרחק אין שנעלקיין צווישן די צוויי געזאגעכצער?
אבער אינ'אמת'ן איז דאס נישט קיין שאלה בכלל. ווייל די חילוק פון 0 ביז איינס איז נישט 'סקעילעבל' נאר 'ביינערי'. ד.ה. 0 איז גארנישט און איינס איז 'יא' . משא"כ שנעלקיין פון 1 מפ"ש און העכער וואס דארט איז יא שייך שנעלער און שטייטער.
לדוגמא שווארץ מיט ווייס, ס'איז נישט שייך צו זאגן וויפיל מאל שווארצער איז שווארץ פון ווייס אדער להיפך. ווייל שווארץ איז נישט 'שווארצער' פון ווייס עס איז אן אנדערע זאך בכלל.
אויב אבער מ'רעדט פון גרוי (גרעי) איז אודאי יא שייך א גרוי וואס איז שווארצער אדער ווייסער אזוי ווי שנעלקייט פון 1 און העכער וואס דעמאלס איז יא שייך 'שנעלער' און 'שטייטער'.
רעדאגירט געווארן צום לעצט דורך 4 אום טראכטכמוני, רעדאגירט געווארן 0 מאל בסך הכל.
-
שמן למאור
- שריפטשטעלער

- הודעות: 3266
- זיך רעגיסטרירט: מאנטאג נאוועמבער 15, 2021 6:21 pm
- געפינט זיך: וואו די כהן גדול גייט אליין...
- האט שוין געלייקט: 3320 מאל
- האט שוין באקומען לייקס: 9066 מאל
לאמיר דיר פרעגן א צווייטע שאלה
וויפול מאל שנעלער איז 1 מפ"ש ווי פון א שטיקל קאקאש קעיק? וועסטו זאגן, וואס הייסט? די שאלה מאכט נישט קיין סענס, וואס האט א שטיקל קאקאש קעיק ציטון מיט מפ"ש,
די תריץ איז אז 0 מפ"ש האט פינקט אזוי סאך ציטון מיט מפ"ש ווי קאקאש קעיק
0 מפ"ש מיינט צו זאגן "גארנישט" מען ריקט זיך בכלל נישט, די לשון 0 מפ"ש איז בלויז לשבר את האוזן, אבער עס איז פשוט נאך א וועג פון זאגן גארנישט
ווען צוויי זאכן זענען הויעך קען מען מעסטן וועליכע איז העכער, ווען צוויי זאכן זענען נידריג קען מען מעסטן וויפול מאל נידריגער איינס איז פונעם צווייטן, ווען צוויי זאכן זענען ברייט קען מען מעסטן ווער איז ברייטער, ווען צוויי זאכן זענען רויט קען מען מעסטן ווער איז מער רויט, ווען צוויי זאכן זענען גרויס קען מען מעסטן וויפול מאל איינס איז גרעסער פונעם צווייטן,
אבער אויב איינער האט די זאך און די צווייטער נישט איז נישט שייך צו פרעגן אזא שאלה, עס מאכט נישט קיין סענס
עס איז פינקט ווי פרעגן, וויפול מאל העכער איז די עמפייער סטעיט בילדינג פון א היקאפ? די שאלה הייבט נישט אהן צו שטימען ווייל א היקאפ האט נישט קיין הייעך בכלל
אדער איינער וועט פרעגן וויפול מאל שטערקער איז א לייב פון א עפל קיגל? די שאלה מאכט נישט קיין סענס ווייל א עפל קיגל האט נישט קיין שטארקייט בכלל
די זעלבע מיט 0 מייל פער שעה, עס איז א גארנישט...
אזוי טראכט איך כרגע, וועט מען דארפן ווארטן פאר @מי אני
נאכן אפשרייבן זע איך אז @טראכטכמוני זאגט בעצם כמוני
וויפול מאל שנעלער איז 1 מפ"ש ווי פון א שטיקל קאקאש קעיק? וועסטו זאגן, וואס הייסט? די שאלה מאכט נישט קיין סענס, וואס האט א שטיקל קאקאש קעיק ציטון מיט מפ"ש,
די תריץ איז אז 0 מפ"ש האט פינקט אזוי סאך ציטון מיט מפ"ש ווי קאקאש קעיק
0 מפ"ש מיינט צו זאגן "גארנישט" מען ריקט זיך בכלל נישט, די לשון 0 מפ"ש איז בלויז לשבר את האוזן, אבער עס איז פשוט נאך א וועג פון זאגן גארנישט
ווען צוויי זאכן זענען הויעך קען מען מעסטן וועליכע איז העכער, ווען צוויי זאכן זענען נידריג קען מען מעסטן וויפול מאל נידריגער איינס איז פונעם צווייטן, ווען צוויי זאכן זענען ברייט קען מען מעסטן ווער איז ברייטער, ווען צוויי זאכן זענען רויט קען מען מעסטן ווער איז מער רויט, ווען צוויי זאכן זענען גרויס קען מען מעסטן וויפול מאל איינס איז גרעסער פונעם צווייטן,
אבער אויב איינער האט די זאך און די צווייטער נישט איז נישט שייך צו פרעגן אזא שאלה, עס מאכט נישט קיין סענס
עס איז פינקט ווי פרעגן, וויפול מאל העכער איז די עמפייער סטעיט בילדינג פון א היקאפ? די שאלה הייבט נישט אהן צו שטימען ווייל א היקאפ האט נישט קיין הייעך בכלל
אדער איינער וועט פרעגן וויפול מאל שטערקער איז א לייב פון א עפל קיגל? די שאלה מאכט נישט קיין סענס ווייל א עפל קיגל האט נישט קיין שטארקייט בכלל
די זעלבע מיט 0 מייל פער שעה, עס איז א גארנישט...
אזוי טראכט איך כרגע, וועט מען דארפן ווארטן פאר @מי אני
נאכן אפשרייבן זע איך אז @טראכטכמוני זאגט בעצם כמוני
"שמן למאור" - שמן זית זך להעלות נר תמיד
I can explain it to you but I can't understand it for you
Edward I. Koch-
אלע מיינע קאווע שטיבל ארטיקלען!!!
I can explain it to you but I can't understand it for you
Edward I. Koch-
אלע מיינע קאווע שטיבל ארטיקלען!!!
-
טראכטכמוני
- ידיד השטיבל

- הודעות: 232
- זיך רעגיסטרירט: דינסטאג יולי 18, 2017 7:34 am
- האט שוין געלייקט: 160 מאל
- האט שוין באקומען לייקס: 190 מאל
Re: וויפיל מאל שנעלער איז 1 מפ"ש פון 0 מפ"ש?
טאקע כמוך, נאר כ'האב עפעס געהאט א משמעות פון די ווערטער פון דעם @קהל'ס נער אז ער רעדט יא פון א שטיקל ספיד נאר ווייניגער פון א מפ"ש האב איך דאס קודם געדארפט שולל זיין להוציא מליבןעצי שטים האט געשריבן:לאמיר דיר פרעגן א צווייטע שאלה
וויפול מאל שנעלער איז 1 מפ"ש ווי פון א שטיקל קאקאש קעיק? וועסטו זאגן, וואס הייסט? די שאלה מאכט נישט קיין סענס, וואס האט א שטיקל קאקאש קעיק ציטון מיט מפ"ש,
די תריץ איז אז 0 מפ"ש האט פינקט אזוי סאך ציטון מיט מפ"ש ווי קאקאש קעיק
0 מפ"ש מיינט צו זאגן "גארנישט" מען ריקט זיך בכלל נישט, די לשון 0 מפ"ש איז בלויז לשבר את האוזן, אבער עס איז פשוט נאך א וועג פון זאגן גארנישט
ווען צוויי זאכן זענען הויעך קען מען מעסטן וועליכע איז העכער, ווען צוויי זאכן זענען נידריג קען מען מעסטן וויפול מאל נידריגער איינס איז פונעם צווייטן, ווען צוויי זאכן זענען ברייט קען מען מעסטן ווער איז ברייטער, ווען צוויי זאכן זענען רויט קען מען מעסטן ווער איז מער רויט, ווען צוויי זאכן זענען גרויס קען מען מעסטן וויפול מאל איינס איז גרעסער פונעם צווייטן,
אבער אויב איינער האט די זאך און די צווייטער נישט איז נישט שייך צו פרעגן אזא שאלה, עס מאכט נישט קיין סענס
עס איז פינקט ווי פרעגן, וויפול מאל העכער איז די עמפייער סטעיט בילדינג פון א היקאפ? די שאלה הייבט נישט אהן צו שטימען ווייל א היקאפ האט נישט קיין הייעך בכלל
אדער איינער וועט פרעגן וויפול מאל שטערקער איז א לייב פון א עפל קיגל? די שאלה מאכט נישט קיין סענס ווייל א עפל קיגל האט נישט קיין שטארקייט בכלל
די זעלבע מיט 0 מייל פער שעה, עס איז א גארנישט...
אזוי טראכט איך כרגע, וועט מען דארפן ווארטן פאר @מי אני
נאכן אפשרייבן זע איך אז @טראכטכמוני זאגט בעצם כמוני
- מי אני
- שריפטשטעלער

- הודעות: 5784
- זיך רעגיסטרירט: פרייטאג אקטאבער 05, 2018 4:32 pm
- האט שוין געלייקט: 12391 מאל
- האט שוין באקומען לייקס: 8057 מאל
דאס רירט אָן אויפ׳ן געדאנק וואס איך האב געשריבן איבער פארוואס מ׳קען נישט דיוויידן א נומער ביי 0 און עס איז אָנדעפיינד.
מאטעמאטיש/פיזיש (לגבי וועלאסיטי וכו׳) איז גלייב איך נישט אזוי שייך צו זאגן אז 0 מפ״ש איז מיינונגסלאז. עס מיינט אז עס איז נישטא קיין טויש אין די פאזיציע דערפון פּער יוּניט פון צייט [״שעה״ אין די קאנטעקסט]. למשל, אין פיזיקס מאכט אויך סענס צו זאגן אז מ׳איז געפארן (2-) מפ״ש, אונטער און נאך ווייניגער ווי 0 מפ"ש, וואס מיינט מ׳האט ״געבּעקט״ צוריקצווועגס [אבסאלוטע] 2 מפ״ש. הגם ביי דעם, וויבאלד ס׳איז יא ״דא״ אַן עצם וועלאסיטי און טויש אין פאזיציע פּער יוּניט פון צייט, קען מען יא זאגן אז געהעריגע [פאזיטיווע] 4 מפ״ש פאראויס איז (2-) מאל אזוי שנעל ווי דעם. (ביי 0 קען מען דאס נישט טוהן מיט די ״וויפיל מאל מער?״ שאלה וויבאלד עס איז פשוט נישט [מאטעמאטיש] דעפיינד כנ״ל. פרעגן ״וויפיל מער?״ בסתם איז שוין יא דעפיינד און מאכט יא סענס, ופשוט.)
אבער דאס איז בנוגע ״טעכניש״/מאטעמאטיש/פיזיש גערעדט. אין אלגעמיינע פּארלאנץ זענען @טראכטכמוני און @עצי שטים בעצם גערעכט.
מאטעמאטיש/פיזיש (לגבי וועלאסיטי וכו׳) איז גלייב איך נישט אזוי שייך צו זאגן אז 0 מפ״ש איז מיינונגסלאז. עס מיינט אז עס איז נישטא קיין טויש אין די פאזיציע דערפון פּער יוּניט פון צייט [״שעה״ אין די קאנטעקסט]. למשל, אין פיזיקס מאכט אויך סענס צו זאגן אז מ׳איז געפארן (2-) מפ״ש, אונטער און נאך ווייניגער ווי 0 מפ"ש, וואס מיינט מ׳האט ״געבּעקט״ צוריקצווועגס [אבסאלוטע] 2 מפ״ש. הגם ביי דעם, וויבאלד ס׳איז יא ״דא״ אַן עצם וועלאסיטי און טויש אין פאזיציע פּער יוּניט פון צייט, קען מען יא זאגן אז געהעריגע [פאזיטיווע] 4 מפ״ש פאראויס איז (2-) מאל אזוי שנעל ווי דעם. (ביי 0 קען מען דאס נישט טוהן מיט די ״וויפיל מאל מער?״ שאלה וויבאלד עס איז פשוט נישט [מאטעמאטיש] דעפיינד כנ״ל. פרעגן ״וויפיל מער?״ בסתם איז שוין יא דעפיינד און מאכט יא סענס, ופשוט.)
אבער דאס איז בנוגע ״טעכניש״/מאטעמאטיש/פיזיש גערעדט. אין אלגעמיינע פּארלאנץ זענען @טראכטכמוני און @עצי שטים בעצם גערעכט.
- berlbalaguleh
- שריפטשטעלער

- הודעות: 20419
- זיך רעגיסטרירט: דינסטאג יולי 17, 2012 12:57 pm
- האט שוין געלייקט: 25361 מאל
- האט שוין באקומען לייקס: 15512 מאל
- קאנטאקט:
עצי שיטים: אם כבר בחקירה ובדיקדוק (ובדיוק) עסקינן. האסטו (און כמעט די גאנצע וועלט) נישט ריכטיג ארויס די דעפינישן..."קאקאש קעיק"... דו זאגסט (גרייזיג) קאקאש. וואס מיינט אין אונגאריש א האן א זכר. (Kokos/kokosh)...ווען דו ווילסט בעצם זאגן...(kaka-os/kaka-osh)...! דארף מען עס שרייבן (אין אידיש)...קאקא-אש. קעיק. איין אלף מאכט אויס א חילוק צווישן 0 מ.פ.ש. און 100 מ.פ.ש. ...! אזוי ווי מיין רבי מהר"א קר"י שליט"א זאגט אייביג ץץץ ווער ס'פארשטייט, פארשטייט... והמבין יבין. אדער והיוון מבין...!
- פרנס החודש
- ידיד ותיק

- הודעות: 699
- זיך רעגיסטרירט: מאנטאג דעצעמבער 13, 2021 7:50 am
- האט שוין געלייקט: 3763 מאל
- האט שוין באקומען לייקס: 925 מאל
Re: וויפיל מאל שנעלער איז 1 מפ"ש פון 0 מפ"ש?
It has a numerical value, but you can’t multiply or divide it.מי אני האט געשריבן:דאס רירט אָן אויפ׳ן געדאנק וואס איך האב געשריבן איבער פארוואס מ׳קען נישט דיוויידן א נומער ביי 0 און עס איז אָנדעפיינד.
מאטעמאטיש/פיזיש (לגבי וועלאסיטי וכו׳) איז גלייב איך נישט אזוי שייך צו זאגן אז 0 מפ״ש איז מיינונגסלאז. עס מיינט אז עס איז נישטא קיין טויש אין די פאזיציע דערפון פּער יוּניט פון צייט [״שעה״ אין די קאנטעקסט]. למשל, אין פיזיקס מאכט אויך סענס צו זאגן אז מ׳איז געפארן (2-) מפ״ש, אונטער און נאך ווייניגער ווי 0 מפ"ש, וואס מיינט מ׳האט ״געבּעקט״ צוריקצווועגס [אבסאלוטע] 2 מפ״ש. הגם ביי דעם, וויבאלד ס׳איז יא ״דא״ אַן עצם וועלאסיטי און טויש אין פאזיציע פּער יוּניט פון צייט, קען מען יא זאגן אז געהעריגע [פאזיטיווע] 4 מפ״ש פאראויס איז (2-) מאל אזוי שנעל ווי דעם. (ביי 0 קען מען דאס נישט טוהן מיט די ״וויפיל מאל מער?״ שאלה וויבאלד עס איז פשוט נישט [מאטעמאטיש] דעפיינד כנ״ל. פרעגן ״וויפיל מער?״ בסתם איז שוין יא דעפיינד און מאכט יא סענס, ופשוט.)
אבער דאס איז בנוגע ״טעכניש״/מאטעמאטיש/פיזיש גערעדט. אין אלגעמיינע פּארלאנץ זענען @טראכטכמוני און @עצי שטים בעצם גערעכט.
Don’t ask unless you want to hear the answer.
- שמעון וואלף
- חבר ותיק

- הודעות: 3547
- זיך רעגיסטרירט: זונטאג דעצעמבער 14, 2014 1:33 pm
- געפינט זיך: אין דרום
- האט שוין געלייקט: 5476 מאל
- האט שוין באקומען לייקס: 3921 מאל
- berlbalaguleh
- שריפטשטעלער

- הודעות: 20419
- זיך רעגיסטרירט: דינסטאג יולי 17, 2012 12:57 pm
- האט שוין געלייקט: 25361 מאל
- האט שוין באקומען לייקס: 15512 מאל
- קאנטאקט:
- מי אני
- שריפטשטעלער

- הודעות: 5784
- זיך רעגיסטרירט: פרייטאג אקטאבער 05, 2018 4:32 pm
- האט שוין געלייקט: 12391 מאל
- האט שוין באקומען לייקס: 8057 מאל
לפי וואס איך האב געזאגט פריער איז עס (2-). ווייל 10 איז מער פון (5-), (2-) מאל.שמעון וואלף האט געשריבן:איך האב געטראכט פון אן ענליכע שאלה. איין סטאק איז געפאלן 5% און דיר צווייטער איז געשטיגן 10%. וויפול מאל בעסער איז דער צווייטער פון דער ערשטער?
דא האב איך מסביר געווען פארוואס ווען מען מאָלטיפּלייט אדער דיווייד (וואס ווי איך האב דא מסביר געווען זענען דיוויזשאן און מאָלטיפּליקעישאן בעצם אחת: דיוויזשאן פשוט באדייט מאָלטיפּליקעישאן פונעם אינווערס) א נעגאטיוו ביי א פאזיטיוו איז די פראדוקט/קוואָשענט אלעמאל א נעגאטיוו, און ווען מען מאָלטיפּלייט אדער דיווייד א נעגאטיוו ביי א נעגאטיוו איז די פראדוקט/קוואָשענט אלעמאל א פאזיטיוו.
@פרנס החודש:
Precisely my point: it’s not “meaningless” as it has a numerical value and denotes a quantity with regard to the rate of change in position. However, you can’t divide by said numerical value to obtain an answer to the question of “how much more proportionally is the latter quantitative rate of change more so than the first?”, as dividing by 0 is undefined. It’s the question that’s meaningless; not the quantity. Which is why I begin, “from the viewpoint of physics I do not believe 0 mph to be meaningless”
-
[NAMELESS]
- מי אני
- שריפטשטעלער

- הודעות: 5784
- זיך רעגיסטרירט: פרייטאג אקטאבער 05, 2018 4:32 pm
- האט שוין געלייקט: 12391 מאל
- האט שוין באקומען לייקס: 8057 מאל
די שאלה איז וואס באדייט, און צי ס'איז בכלל דא אזא זאך ווי, "א האלבע גרוב"? אדער איז עס א [גאנצע] גרוב אדער בכלל נישט א גרוב. דאס רירט אויך אָן אויפ'ן באקאנטן סאָריטיִס פאראדאקס.
אויב דעפינירט מען דאס דא אז "אזוי-און-אזוי גרויס" איז אין די קאנטעקסט א "גאנצע" גרוב, דאן איז האלב דערפון [אין די קאנטעקסט] וועט נעמען האלב די צייט.
אויב דעפינירט מען דאס דא אז "אזוי-און-אזוי גרויס" איז אין די קאנטעקסט א "גאנצע" גרוב, דאן איז האלב דערפון [אין די קאנטעקסט] וועט נעמען האלב די צייט.
- berlbalaguleh
- שריפטשטעלער

- הודעות: 20419
- זיך רעגיסטרירט: דינסטאג יולי 17, 2012 12:57 pm
- האט שוין געלייקט: 25361 מאל
- האט שוין באקומען לייקס: 15512 מאל
- קאנטאקט:
יהורם: די שיעור פון א גרוב ווס. א האלבע גרוב איז רעלאטיוו. צוערשט דארף מען דעפינירן וויפיהל קיוביק פס. (למשל) איז די שיעור פון א גרוב (באזירט אויף פאקטן/נוצן). אלע אנדערע זאכן וועללן פארן פון דארט...!יהורם האט געשריבן:סתם פאר אינטערסאנטקייט, אויב עס נעמט איין שעה צו גראבן א גרוב, וויפיל צייט דויערט צו גראבן א האלבער גרוב?
-
היסטאריע
- וְאֶת־הָאֶ֜לֶף

- הודעות: 1428
- זיך רעגיסטרירט: מאנטאג מערץ 01, 2021 4:58 pm
- האט שוין געלייקט: 43 מאל
- האט שוין באקומען לייקס: 1375 מאל
וויפיל מאל קלוגער איז דער חכם פין דער טיפש?די (קהל'ס) נער וואלט געענטפערט 1.
אבער פארשטייט זיך אז דאס איז נישט ריכטיג ווייל 1*0=0.
דער וואס האלט זיך פאר א חכם גייט ענטפערען 0.
דער טיפש זאגט, נול.
דער חכם זאגט, אינפיניטי.
בערל דער בעל עגלה'ס הסכמה אויף מיר דא
ווען אזא לאו-לייף (טאקע, אויך מיר א שריפטשעלטער) ווי דו (שאינו יודע להבחין בין..."דו" ל' "די"... קומען אויף מיין באס, ווארף איך זיי אראפ נאך איידער זיי האבן א טשענס צו טון זייערע מעשים תעתועים
ווען אזא לאו-לייף (טאקע, אויך מיר א שריפטשעלטער) ווי דו (שאינו יודע להבחין בין..."דו" ל' "די"... קומען אויף מיין באס, ווארף איך זיי אראפ נאך איידער זיי האבן א טשענס צו טון זייערע מעשים תעתועים
- מי אני
- שריפטשטעלער

- הודעות: 5784
- זיך רעגיסטרירט: פרייטאג אקטאבער 05, 2018 4:32 pm
- האט שוין געלייקט: 12391 מאל
- האט שוין באקומען לייקס: 8057 מאל
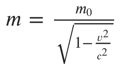
אין רעלאטיוויטי, וויבאלד מאסע און ענערגיע זענען בעצם אייניג וכידוע עפ״י E=mc², דא די געדאנק פון רעלאטיוויסטיק מאסע. דאס איז אז ווען עפעס וואס האט בעצם עפעס א רעסטינג מאסע ווען עס ליגט ווי א דומם, גייט מיט א פארמערונג פון וועלאסיטי ווערן די מאסע דערפון, פאר אנדערע אבזערווירערס מחוצה לה, מער און מער. דאס איז די סיבה אז א זאך וואס האט עפעס א רעסטינג מאסע וועט נישט קענען אָנקומען צום שנעלקייט פון אור (וואס א פאָטאַן פון אור האט נישט קיין שום רעסטינג מאסע), ווייל דאן וועט די זאך האבן אַן אינפיניט מאסע און דארפן אַן אינפיניט מאס ענערגיע פאר איר מהירות.היסטאריע האט געשריבן:וויפיל מאל קלוגער איז דער חכם פין דער טיפש?
דער טיפש זאגט, נול.
דער חכם זאגט, אינפיניטי.
לגבי דעם אז מ׳קען נישט דיוויידן ביי 0 און עס איז אָנדעפיינד איז קומט אויס אז א פאָטאַן פון אור, עפ״י אַן (סימפּליפייד) עקוועישאן פון רעלאטיוויסטיק מאסע: וואו m₀ באדייט די רעסטינג מאסע, קומט אויס אז א פאָטאַן האט בעצם בשעת עס ״פארט״ במהירות האור אַן אָנדעפיינד רעלאטיוויסטיק מאסע פון 0/0. (סתם א זאך וואלט אויך דיוויידעד געווארן ביי 0 אין אזא פאל לפי די עקוועישאן.)
ועכ״פ לפי כל הנ״ל קען מען זאגן אז דאס איז מרמז די פסוק (קהלת ב יג) וראיתי אני שיש יתרון לחכמה מן הסכלות כיתרון האור מן החשך - בענין 0 און ∞…
- berlbalaguleh
- שריפטשטעלער

- הודעות: 20419
- זיך רעגיסטרירט: דינסטאג יולי 17, 2012 12:57 pm
- האט שוין געלייקט: 25361 מאל
- האט שוין באקומען לייקס: 15512 מאל
- קאנטאקט:
מי אני: ייש"כ. דו האסט מיר ממש אויפגעלאכטן מיט דעם פשט...!
ויש לעורר. אז חושך (העדר האור) האט אויך אן אינפיניטי...בלעק האול...! צימצום... במושכל/משקל שני יש לדייק אז ציצמצום איז נישט בלי גבול. אן אטאם. אויב שפאלט מען עס גייט ארויס אומבאגרעניצטע ענערגיע...דאס האט (אפשר) אויך א שייכות מיט די מאטעמאטישע טעאריע אז א שלילי שבשלילי ווערט א חיובי.
ויש לעורר. אז חושך (העדר האור) האט אויך אן אינפיניטי...בלעק האול...! צימצום... במושכל/משקל שני יש לדייק אז ציצמצום איז נישט בלי גבול. אן אטאם. אויב שפאלט מען עס גייט ארויס אומבאגרעניצטע ענערגיע...דאס האט (אפשר) אויך א שייכות מיט די מאטעמאטישע טעאריע אז א שלילי שבשלילי ווערט א חיובי.
- שמעון וואלף
- חבר ותיק

- הודעות: 3547
- זיך רעגיסטרירט: זונטאג דעצעמבער 14, 2014 1:33 pm
- געפינט זיך: אין דרום
- האט שוין געלייקט: 5476 מאל
- האט שוין באקומען לייקס: 3921 מאל
דאס קען מען טאקע שרייבן אבער אין ווערטער זאגט זיך עס עפעס נישט.מי אני האט געשריבן:לפי וואס איך האב געזאגט פריער איז עס (2-). ווייל 10 איז מער פון (5-), (2-) מאל.שמעון וואלף האט געשריבן:איך האב געטראכט פון אן ענליכע שאלה. איין סטאק איז געפאלן 5% און דיר צווייטער איז געשטיגן 10%. וויפול מאל בעסער איז דער צווייטער פון דער ערשטער?
דא האב איך מסביר געווען פארוואס ווען מען מאָלטיפּלייט אדער דיווייד (וואס ווי איך האב דא מסביר געווען זענען דיוויזשאן און מאָלטיפּליקעישאן בעצם אחת: דיוויזשאן פשוט באדייט מאָלטיפּליקעישאן פונעם אינווערס) א נעגאטיוו ביי א פאזיטיוו איז די פראדוקט/קוואָשענט אלעמאל א נעגאטיוו, און ווען מען מאָלטיפּלייט אדער דיווייד א נעגאטיוו ביי א נעגאטיוו איז די פראדוקט/קוואָשענט אלעמאל א פאזיטיוו.
א נעגעטיוו נאמבער מיינט דאך ווייניגער ווי איינס, קען מען זאגן אז דער וואס פארדינט 10% איז ניטאמאל אזוי גוט ווי דער וואס פארלירט 5 פראצענט?
-
מרדכי מרדכי
- היימישער באניצער

- הודעות: 586
- זיך רעגיסטרירט: פרייטאג אוגוסט 02, 2019 11:12 am
- האט שוין געלייקט: 223 מאל
- האט שוין באקומען לייקס: 453 מאל
פשטות געדואערט עס ווייניגער פון האלב צייט ווייל וואס טיפער מען בראבו דארט עס לענגער ארויף צישלעפן די ערדמי אני האט געשריבן:די שאלה איז וואס באדייט, און צי ס'איז בכלל דא אזא זאך ווי, "א האלבע גרוב"? אדער איז עס א [גאנצע] גרוב אדער בכלל נישט א גרוב. דאס רירט אויך אָן אויפ'ן באקאנטן סאָריטיִס פאראדאקס.
אויב דעפינירט מען דאס דא אז "אזוי-און-אזוי גרויס" איז אין די קאנטעקסט א "גאנצע" גרוב, דאן איז האלב דערפון [אין די קאנטעקסט] וועט נעמען האלב די צייט.
מיין 500'סטע תגובה
https://www.kaveshtiebel.com/viewtopic. ... 24#p540924
https://www.kaveshtiebel.com/viewtopic. ... 24#p540924
-
פארוואס?
- שריפטשטעלער

- הודעות: 954
- זיך רעגיסטרירט: פרייטאג יאנואר 31, 2014 11:28 am
- האט שוין געלייקט: 1457 מאל
- האט שוין באקומען לייקס: 2213 מאל
דער ענטפער צו דיין שאלה אין פלעין יידיש:
קודם כל, עס איז נישט קיין נפקא-מינה צו מ'רעדט פון מפ"ש אדער יעדע אנדערע יוניט, דיין פראגע קען פונקט אזוי ווערן געפרעגט וויפיל מאל מער איז 1 מעטער פון 0 מעטערס?
געווענליך ווען מ'וויל וויסן וויפיל מאל איין נומער איז גרעסער ווי אן אנדערע נוצט מען דיוויזיע (דיוויזשן), למשל אויב מ'וויל וויסן וויפיל מאל 10 איז גרעסער פון 5, צוטיילט מען 10 אין 5, 10/5 איז 2.
אלזא, ווען מ'וויל צוטיילן 1 אין זערא, אדער בעצם יעדע נומער אין זערא, באקומט מען אן אומדעפינירטע ענטפער, אדער - אין אנדערע ווערטער - עס איז אומלעגאל צו צוטיילן אין זערא - אין די סיבה דערפאר איז ווייל די געזעצן פון אריטמעטיק קענען דאס נישט כולל זיין. (אינפיניטי איז א מאטעמאטישע קאנסעפט, אבער נישט קיין נומער).
אין קאלקולוס, וואלט מען געזאגט אז דער לימיט איז אינפיניטי, דהיינו, בערך ווי צוזאגן אז קוקנדיג ארום זערא, קוקט אויס ווי מ'קומט אן צו אינפיניטי.
לייען מער איבער דעם אין גרינגע ענגליש:
https://www.mathsisfun.com/numbers/divi ... -zero.html
קודם כל, עס איז נישט קיין נפקא-מינה צו מ'רעדט פון מפ"ש אדער יעדע אנדערע יוניט, דיין פראגע קען פונקט אזוי ווערן געפרעגט וויפיל מאל מער איז 1 מעטער פון 0 מעטערס?
געווענליך ווען מ'וויל וויסן וויפיל מאל איין נומער איז גרעסער ווי אן אנדערע נוצט מען דיוויזיע (דיוויזשן), למשל אויב מ'וויל וויסן וויפיל מאל 10 איז גרעסער פון 5, צוטיילט מען 10 אין 5, 10/5 איז 2.
אלזא, ווען מ'וויל צוטיילן 1 אין זערא, אדער בעצם יעדע נומער אין זערא, באקומט מען אן אומדעפינירטע ענטפער, אדער - אין אנדערע ווערטער - עס איז אומלעגאל צו צוטיילן אין זערא - אין די סיבה דערפאר איז ווייל די געזעצן פון אריטמעטיק קענען דאס נישט כולל זיין. (אינפיניטי איז א מאטעמאטישע קאנסעפט, אבער נישט קיין נומער).
אין קאלקולוס, וואלט מען געזאגט אז דער לימיט איז אינפיניטי, דהיינו, בערך ווי צוזאגן אז קוקנדיג ארום זערא, קוקט אויס ווי מ'קומט אן צו אינפיניטי.
לייען מער איבער דעם אין גרינגע ענגליש:
https://www.mathsisfun.com/numbers/divi ... -zero.html
אסור ליראת שמים שתדחק את המוסר הטבעי של האדם, כי אז אינה עוד יראת שמים טהורה.
סימן ליראת שמים טהורה הוא כשהמוסר הטבעי, הנטוע בטבע הישר של האדם, הולך ועולה על פיה במעלות יותר גבוהות ממה שהוא עומד מבלעדה.
סימן ליראת שמים טהורה הוא כשהמוסר הטבעי, הנטוע בטבע הישר של האדם, הולך ועולה על פיה במעלות יותר גבוהות ממה שהוא עומד מבלעדה.
~ אורות ישראל להגראי"ה קוק
-
פארוואס?
- שריפטשטעלער

- הודעות: 954
- זיך רעגיסטרירט: פרייטאג יאנואר 31, 2014 11:28 am
- האט שוין געלייקט: 1457 מאל
- האט שוין באקומען לייקס: 2213 מאל
עצי שטים האט געשריבן:לאמיר דיר פרעגן א צווייטע שאלה
וויפול מאל שנעלער איז 1 מפ"ש ווי פון א שטיקל קאקאש קעיק? וועסטו זאגן, וואס הייסט? די שאלה מאכט נישט קיין סענס, וואס האט א שטיקל קאקאש קעיק ציטון מיט מפ"ש,
די תריץ איז אז 0 מפ"ש האט פינקט אזוי סאך ציטון מיט מפ"ש ווי קאקאש קעיק
0 מפ"ש מיינט צו זאגן "גארנישט" מען ריקט זיך בכלל נישט, די לשון 0 מפ"ש איז בלויז לשבר את האוזן, אבער עס איז פשוט נאך א וועג פון זאגן גארנישט
ווען צוויי זאכן זענען הויעך קען מען מעסטן וועליכע איז העכער, ווען צוויי זאכן זענען נידריג קען מען מעסטן וויפול מאל נידריגער איינס איז פונעם צווייטן, ווען צוויי זאכן זענען ברייט קען מען מעסטן ווער איז ברייטער, ווען צוויי זאכן זענען רויט קען מען מעסטן ווער איז מער רויט, ווען צוויי זאכן זענען גרויס קען מען מעסטן וויפול מאל איינס איז גרעסער פונעם צווייטן,
אבער אויב איינער האט די זאך און די צווייטער נישט איז נישט שייך צו פרעגן אזא שאלה, עס מאכט נישט קיין סענס
עס איז פינקט ווי פרעגן, וויפול מאל העכער איז די עמפייער סטעיט בילדינג פון א היקאפ? די שאלה הייבט נישט אהן צו שטימען ווייל א היקאפ האט נישט קיין הייעך בכלל
אדער איינער וועט פרעגן וויפול מאל שטערקער איז א לייב פון א עפל קיגל? די שאלה מאכט נישט קיין סענס ווייל א עפל קיגל האט נישט קיין שטארקייט בכלל
די זעלבע מיט 0 מייל פער שעה, עס איז א גארנישט...
אזוי טראכט איך כרגע, וועט מען דארפן ווארטן פאר @מי אני
נאכן אפשרייבן זע איך אז @טראכטכמוני זאגט בעצם כמוני
עס איז שווער צו מסכים זיין דערמיט, זערא איז א נומער ווי אלע נומערן, אויב טראכטן מיר פון א נומער ליין וואס גייט פון נעגעטיוו אינפיניטי צו פאזיטיוו אינפיניטי,ַַַַַַַַ זערא איז אויפן נומער ליין.
דער פראבלעם איז נאר מיט צוטיילן אין זערא, אלע אנדערע אריטמעטישע אפעראציעס ארבעטן גוט מיט זערא.
אסור ליראת שמים שתדחק את המוסר הטבעי של האדם, כי אז אינה עוד יראת שמים טהורה.
סימן ליראת שמים טהורה הוא כשהמוסר הטבעי, הנטוע בטבע הישר של האדם, הולך ועולה על פיה במעלות יותר גבוהות ממה שהוא עומד מבלעדה.
סימן ליראת שמים טהורה הוא כשהמוסר הטבעי, הנטוע בטבע הישר של האדם, הולך ועולה על פיה במעלות יותר גבוהות ממה שהוא עומד מבלעדה.
~ אורות ישראל להגראי"ה קוק
